SOLUTION: Change from general to standard form 4x^2 + y^2 - 8x - 2y + 1 = 0

Algebra ->  Quadratic-relations-and-conic-sections -> SOLUTION: Change from general to standard form 4x^2 + y^2 - 8x - 2y + 1 = 0      Log On


   



Question 759284: Change from general to standard form
4x^2 + y^2 - 8x - 2y + 1 = 0

Answer by lwsshak3(11628) About Me  (Show Source):
You can put this solution on YOUR website!
Change from general to standard form
4x^2 + y^2 - 8x - 2y + 1 = 0
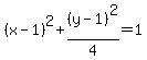
4x^2 - 8x + y^2 - 2y + 1 = 0
complete the square:
4(x^2-2x+1)+(y^2-2y+1) =-1+4+1
4(x-1)^2+(y-1)^2=4
%28x-1%29%5E2%2B%28y-1%29%5E2%2F4=1
This is an equation of an ellipse with vertical major axis and center at (1,1)