SOLUTION: write an equation for the parabola with the given vertex that passes through the given point. vertex: (-4,3) point:(-3,6)
Algebra
->
Quadratic-relations-and-conic-sections
-> SOLUTION: write an equation for the parabola with the given vertex that passes through the given point. vertex: (-4,3) point:(-3,6)
Log On
Algebra: Conic sections - ellipse, parabola, hyperbola
Section
Solvers
Solvers
Lessons
Lessons
Answers archive
Answers
Click here to see ALL problems on Quadratic-relations-and-conic-sections
Question 751628
:
write an equation for the parabola with the given vertex that passes through the given point. vertex: (-4,3) point:(-3,6)
Answer by
tommyt3rd(5050)
(
Show Source
):
You can
put this solution on YOUR website!
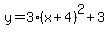
The standard form of the equation of a parabola is
so we can write
and using(-3,6)
tells us
so we know a=3
:)