Question 750757: How do I write equation for each conic section:
Circle with center at (0 ,-3) and the radius of 5
Parabole with Vertex at (-3,5) and focus at (-1,5)
Ellipse with the vertices at (2,5) (2,-3) and co-vertices at (0,1) (4,1)
Answer by lwsshak3(11628) (Show Source):
You can put this solution on YOUR website! How do I write equation for each conic section:
Circle with center at (0 ,-3) and the radius of 5
Standard form of equation for a circle: , (h,k)=center, r=radius
For given circle:
center: (0,-3)
radius=5

..
Parabola with Vertex at (-3,5) and focus at (-1,5)
Parabola opens rightward:
axis of symmetry: y=5
Its basic equation: , (h,k)=(x,y) coordinates of vertex
For given parabola:
p=2(distance from vertex to focus on the axis of symmetry
4p=8
Equation:
..
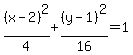
Ellipse with the vertices at (2,5) (2,-3) and co-vertices at (0,1) (4,1)
Given ellipse has a vertical major axis
Its standard form of equation: , a>b, (h,k)=(x,y) coordinates of center
For given ellipse:
x-coordinate of center=2
y-coordinate of center=1 (midpoint of vertex)
center: (2,1)
a=4 (distance from center to vertices)
a^2=16
b=2(distance from center to co-vertices)
b^2=4
Equation of given ellipse:
|
|
|