|
Question 746555: Determine the center, vertices, and foci for the following ellipse 18x^2+4y^2-108x+16y=106
Write word or phrase that best completes each statement or answers question
Found 2 solutions by MathLover1, KMST: Answer by MathLover1(20850) (Show Source): Answer by KMST(5328) (Show Source):
You can put this solution on YOUR website! An equation of the form
represents an ellipse centered at (h,k), with an axis of length parallel to the x-axis,
and an axis of length parallel to the y-axis.
If we can transform the equation given into such a form, we will be able to find everything the problem asks for.
--> --> --> 
At this point, you look at the two expressions in brackets and have to realize that we can add something to each expression to "complete a square"
is part of and
is part of 
So and

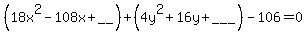
So we go back to the original equation, and add to both sides of the equal sign:
--> --> --> --> 
Dividing both sides of the equal sign by the equation turns into

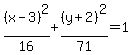
That is the equation of an ellipse with at (3,-2).
The axis parallel to the y-axis (along ) is longer, and it is called the major axis.
Half of its length (called the semi-major axis) is

The are the ends of the major axis, at a distance from the center, and are at
( , ) and ( , )
The other axis is called the minor axis.
It is along the line , parallel to the x-axis.
The ends of the minor axis (often called co-vertices) are at distance

That distance is called the semi-minor axis.
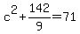
An ellipse has two located on the major axis, between the center and the vertices, at a distance from the center called the focal distance. That distance , and the semi-minor axis are the legs of a right triangle with the semi-major axis for a hypotenuse.
Applying the Pythagorean theorem, we find that
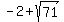
--> --> --> --> --> --> 
So the are at
( , ) and ( , )
|
|
|
| |