SOLUTION: Classify the conic section and write its ezuation in standard form. Then graph the equation. 4x^2+9y^2+40x+72y+208=0 It is an ellipse. I Completed the square and all that but I

Algebra ->  Quadratic-relations-and-conic-sections -> SOLUTION: Classify the conic section and write its ezuation in standard form. Then graph the equation. 4x^2+9y^2+40x+72y+208=0 It is an ellipse. I Completed the square and all that but I      Log On


   



Question 744040: Classify the conic section and write its ezuation in standard form. Then graph the equation.
4x^2+9y^2+40x+72y+208=0
It is an ellipse. I Completed the square and all that but I can't factor it after that..

Answer by lwsshak3(11628) About Me  (Show Source):
You can put this solution on YOUR website!
Classify the conic section and write its equation in standard form. Then graph the equation.
4x^2+9y^2+40x+72y+208=0
complete the square:
4x^2+40x+9y^2+72y+208=0
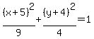
4(x^2+10x+25)+9(y^2+8y+16)=-208+100+144
4(x+5)^2+9(y+4)^2=36
%28x%2B5%29%5E2%2F9%2B%28y%2B4%29%5E2%2F4=1
Given conic section is an ellipse with horizontal major axis with center at (-5,-4)
y=±(4-4(x+5)^2/9)^.5-4
see graph below as a visual check: