SOLUTION: Find the equation of the hyperbola that the transverse axis is parallel to the x-axis, center at (2,-2), passing through (2+3√2,0) and (2+3√10,4).

Algebra ->  Quadratic-relations-and-conic-sections -> SOLUTION: Find the equation of the hyperbola that the transverse axis is parallel to the x-axis, center at (2,-2), passing through (2+3√2,0) and (2+3√10,4).      Log On


   



Question 743731: Find the equation of the hyperbola that the transverse axis is parallel to the x-axis, center at (2,-2), passing through (2+3√2,0) and (2+3√10,4).
Answer by lwsshak3(11628) About Me  (Show Source):
You can put this solution on YOUR website!
Find the equation of the hyperbola that the transverse axis is parallel to the x-axis, center at (2,-2), passing through (2+3√2,0) and (2+3√10,4).
***
This is a hyperbola with horizontal transverse axis.
Its standard form of equation: %28x-h%29%5E2%2Fa%5E2-%28y-k%29%5E2%2Fb%5E2=1, (h,k)=(x,y) coordinates of center
For given hyperbola:
Given center: (2,-2)
Equation: %28x-2%29%5E2%2Fa%5E2-%28y%2B2%29%5E2%2Fb%5E2=1
using given coordinates to solve for a and b:
(2+3√2-2)^2/a^2-(0+2)^2/b^2=1
(2+3√10-2)^2/a^2-(4+2)^2/b^2=1
..
18/a^2-4/b^2=1
90/a^2-36/b^2=1
let x=1/a^2
let y=1/b^2
..
18x-4y=1
90x-36y=1
..
-162x+36y=-9
90x-36y=1
add
-72x=-8
x=8/72=1/9=1/a^2
a^2=9
..
4y=18x-1=2-1=1
y=1/4=1/b^2
b^2=4
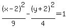
Equation of given hyperbola:
%28x-2%29%5E2%2F9-%28y%2B2%29%5E2%2F4=1
..