SOLUTION: Find the equation of the ellipse that the ends of the major axis at (-9,4) and (3,4) and passing through the point (-3,8).

Algebra ->  Quadratic-relations-and-conic-sections -> SOLUTION: Find the equation of the ellipse that the ends of the major axis at (-9,4) and (3,4) and passing through the point (-3,8).      Log On


   



Question 743730: Find the equation of the ellipse that the ends of the major axis at (-9,4) and (3,4) and passing through the point (-3,8).
Found 2 solutions by josgarithmetic, lwsshak3:
Answer by josgarithmetic(39620) About Me  (Show Source):
You can put this solution on YOUR website!
You can get the 2%2Aa and the center point from the major axis information. From -9 to +3 is 12=2%2Aa, so highlight%28a=6%29. You can find from the two endpoints of the axis that the 'a' goes with the x, being horizontal major axis.

The center is on the line y=4 and is the midpoint of x at -9 and +3, so highlight%28%28-9%2B3%29%2F2=-3%29. Center is (-3,4).

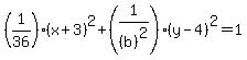
Up to this, you have %281%2F36%29%28x%2B3%29%5E2%2B%281%2F%28b%29%5E2%29%28y-4%29%5E2=1.
To finish, you want to use (-3,8) to find b.

Answer by lwsshak3(11628) About Me  (Show Source):
You can put this solution on YOUR website!
Find the equation of the ellipse that the ends of the major axis at (-9,4) and (3,4) and passing through the point (-3,8).
***
This is an ellipse with horizontal major axis. (x-coordinates of major axis change but y-coordinates do not)
Its standard form of equation:%28x-h%29%5E2%2Fa%5E2%2B%28y-k%29%5E2%2Fb%5E2=1, a>b, (h,k)=(x,y) coordinates of center.
For given ellipse:
x-coordinate of center=-3 (midpoint of -9 and 3)
y-coordnate of center=4
center: (-3,4)
length of horizontal major axis=12(-9 to 3)=2a
a=6
a^2=36
equation:%28-3-%28-3%29%29%5E2%2F36%2B%288-4%29%5E2%2Fb%5E2=1
=0+16/b^2=1
b^2=16
b=4
Equation of given ellipse:
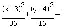
%28x%2B3%29%5E2%2F36%2B%28y-4%29%5E2%2F16=1