SOLUTION: I have tried several different ways to write this hyperbola in standard form and cannot get it. Could I have some help? Write -16x^2+4y^2-64x+24y+36=0 in standard form.

Algebra ->  Quadratic-relations-and-conic-sections -> SOLUTION: I have tried several different ways to write this hyperbola in standard form and cannot get it. Could I have some help? Write -16x^2+4y^2-64x+24y+36=0 in standard form.       Log On


   



Question 736460: I have tried several different ways to write this hyperbola in standard form and cannot get it. Could I have some help?
Write -16x^2+4y^2-64x+24y+36=0 in standard form.

Answer by lwsshak3(11628) About Me  (Show Source):
You can put this solution on YOUR website!
write this hyperbola in standard form
-16x%5E2%2B4y%5E2-64x%2B24y%2B36=0
rearrange terms
-16x%5E2-64x%2B4y%5E2%2B24y%2B36=0
complete the square
-16%28x%5E2%2B4x%2B4%29%2B4%28y%5E2%2B6y%2B9%29=-36-64%2B36
-16%28x%2B2%29%5E2%2B4%28y%2B3%29%5E2=-64
divide by -64
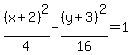
%28x%2B2%29%5E2%2F4-%28y%2B3%29%5E2%2F16=1
This is an equation of a hyperbola with horizontal transverse axis.
Its standard form:%28x-h%29%5E2%2Fa%5E2-%28y-k%29%5E2%2Fb%5E2=1, (h,k)=(x,y) coordinates of center