SOLUTION: The pool at a park is circular. You want to find the equation of the circle that is the boundary at the pool. Find the equation if the area of the pool is 900 square feet and (0,0)

Algebra ->  Quadratic-relations-and-conic-sections -> SOLUTION: The pool at a park is circular. You want to find the equation of the circle that is the boundary at the pool. Find the equation if the area of the pool is 900 square feet and (0,0)      Log On


   



Question 73350: The pool at a park is circular. You want to find the equation of the circle that is the boundary at the pool. Find the equation if the area of the pool is 900 square feet and (0,0) represents the center of the pool. Use EXACT values only.
I thought my answer was right, but it's not; what did I do wrong + what is the correct answer?
x^2 + y^2 = 286.4788976

Answer by jim_thompson5910(35256) About Me  (Show Source):
You can put this solution on YOUR website!
Using the formula:
A=pi%2Ar%5E2plug in A=900
900=pi%2Ar%5E2
r=sqrt%28900%2Fpi%29
So the equation will look like
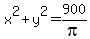
x%5E2%2By%5E2=900%2Fpi
Since the general form is
x%5E2%2By%5E2=r%5E2 where r is the radius.
Since they want it in exact values, this means that you don't divide by pi since you'll be left with decimal.