Question 731734: Vertices at (-2,-3) and (8,-3), one end of the minor axis at (3,-7).
Answer by lwsshak3(11628) (Show Source):
You can put this solution on YOUR website! Vertices at (-2,-3) and (8,-3), one end of the minor axis at (3,-7)
**
Given data shows this is an ellipse with horizontal major axis. (x-coordinates of vertices change but y-coordinates do not)
Its standard form of equation: , a>b, (h,k)=(x,y) coordinates of center
For given ellipse:
x-coordinate of center=(-2+8)/2=6/2=3 (midpoint formula)
y-coordinate of center=-3
center: (3,-3)
length of horizontal major axis=10 (-2 to 8)=2a
a=5
a^2=25
b=4 (-3 to -7)
b^2=16
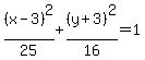
Equation of given ellipse:

|
|
|