SOLUTION: classify conic sections x^2 - 14x - 9y + 22 = 0 write standard form

Algebra ->  Quadratic-relations-and-conic-sections -> SOLUTION: classify conic sections x^2 - 14x - 9y + 22 = 0 write standard form      Log On


   



Question 730578: classify conic sections x^2 - 14x - 9y + 22 = 0 write standard form
Answer by josgarithmetic(39620) About Me  (Show Source):
You can put this solution on YOUR website!
x squared and y to the power of 1; the equation is a parabola.

For standard form, solve for y as a function of x and then complete the square for x. Do you want more complete help?

"Yes", so then...

INCLUDING SOME DETAILS:
Conic sections will have one or more variables in degree 2, with variables
to degree no higher than 2. This is how you know your equation is a conic
section. Parabolas have one variable to degree 2 and the other variable (if
it's a two-variable equation) to degree 1. This then is how we know your
equation is a parabola.


Now, some of the process to start toward standard form.
x%5E2+-+14x+-+9y+%2B+22+=+0


Solve for y.
x%5E2-14x%2B22=9y, by just adding +9y to both sides
y=%281%2F9%29x%5E2-%2814%2F9%29x%2B22%2F9
y=%281%2F9%29x%5E2-%281%2F9%29%2A14x%2B22%2F9
We want an expression in x with coefficient of 1 to which we
may Complete the Square...
y=%281%2F9%29%28x%5E2-14x%29%2B22%2F9

Complete The Square.
Now we need to use the term, %2814%2F2%29%5E2=49 and ADD it and SUBTRACT
it to the right-hand side... You need to study to know why and how that value
was picked...
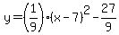
y=%281%2F9%29%28x%5E2-14x%2B49%29%2B22%2F9+-49%2F9, be sure you understand this step perfectly.
y=%281%2F9%29%28x-7%29%5E2-27%2F9
highlight%28y=%281%2F9%29%28x-7%29%5E2-3%29, DONE!