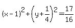
SOLUTION: How would i find the circles center and radius. Please give correct answer and explain each step. 16x²+16y²-32x+8y=0
Algebra
->
Quadratic-relations-and-conic-sections
-> SOLUTION: How would i find the circles center and radius. Please give correct answer and explain each step. 16x²+16y²-32x+8y=0
Log On
Algebra: Conic sections - ellipse, parabola, hyperbola
Section
Solvers
Solvers
Lessons
Lessons
Answers archive
Answers
Click here to see ALL problems on Quadratic-relations-and-conic-sections
Question 727644
:
How would i find the circles center and radius. Please give correct answer and explain each step.
16x²+16y²-32x+8y=0
Answer by
tommyt3rd(5050)
(
Show Source
):
You can
put this solution on YOUR website!
:)