SOLUTION: The ellipse is tangent to the x- and y-axes and has its center at (4,-7) Write the equation of the ellipse.

Algebra ->  Quadratic-relations-and-conic-sections -> SOLUTION: The ellipse is tangent to the x- and y-axes and has its center at (4,-7) Write the equation of the ellipse.      Log On


   



Question 726870: The ellipse is tangent to the x- and y-axes and has its center at (4,-7)
Write the equation of the ellipse.

Answer by lwsshak3(11628) About Me  (Show Source):
You can put this solution on YOUR website!
The ellipse is tangent to the x- and y-axes and has its center at (4,-7)
Write the equation of the ellipse.
***
This is an ellipse with vertical major axis:
Its standard form of equation: %28x-h%29%5E2%2Fb%5E2%2B%28y-k%29%5E2%2Fa%5E2=1, a>b, (h,k)=(x,y) coordinates of center
center: (4,-7)
a=7
a^2=49
b=4
b^2=16
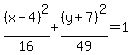
Equation of given ellipse:
%28x-4%29%5E2%2F16%2B%28y%2B7%29%5E2%2F49=1