SOLUTION: Write a conic section equation for 9(x^2-6x)+25(y^2-4y)=44

Algebra ->  Quadratic-relations-and-conic-sections -> SOLUTION: Write a conic section equation for 9(x^2-6x)+25(y^2-4y)=44      Log On


   



Question 724417: Write a conic section equation for 9(x^2-6x)+25(y^2-4y)=44
Found 2 solutions by lwsshak3, Alan3354:
Answer by lwsshak3(11628) About Me  (Show Source):
You can put this solution on YOUR website!
Write a conic section equation for
9(x^2-6x)+25(y^2-4y)=44
9(x^2-6x+9)+25(y^2-4y+4)=44+81+100
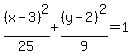
9(x-3)^2+25(y-2)^2=225
%28x-3%29%5E2%2F25%2B%28y-2%29%5E2%2F9=1
This is an equation of a hyperbola with horizontal transverse axis.
Its standard form: %28x-h%29%5E2%2Fa%5E2-%28y-k%29%5E2%2Fb%5E2=1, (h,k)=(x,y) coordinates of the center

Answer by Alan3354(69443) About Me  (Show Source):
You can put this solution on YOUR website!
Write a conic section equation for 9(x^2-6x)+25(y^2-4y)=44
-----------------
The other tutor did all the work, but then called it a hyperbola.
The sign between the x & y terms is + --> an ellipse.