|
Question 720225: Write the equation of an ellipse with the given information:
Verticies: (-5,1) and (1,1)
Focus: (-3,1)
Answer by jsmallt9(3758) (Show Source):
You can put this solution on YOUR website! - The given focus and vertices are all to the right and left of each other. (Plot them if you can't see this.) So the horizontal line on which these three points are located is the major axis.
- With a horizontal major axis this ellipse is a horizontally-oriented one and we will be using the standard form for these ellipses:
 - The center of any ellipse with be halfway between the vertices. The midpoint of (-5, 1) and (1, 1) is (-2, 1). So the center is (-2, 1). And this makes -2 the "h" of the equation and 1 the "k".
- The distance from the center to a vertex on the major as is the "a" in the equation. The distance from (-2, 1) to either (-5, 1) or (1, 1) is 3. So the "a" is 3.
- The only thing we still need to write the equation is "b". But we cannot find it directly from what we were given or from what we have figured out so far. To find "b" we need to find "c" first. "C" is the distance from the center to either focus. The distance from the center, (-2, 1), to the focus we were given, (-3, 1), is 1. So "c" is 1. Now we can use the equation that connects the a, b and c values:

Since we know a and c we can use those values and the equation above to find b:

Simplifying:

Subtracting 1:

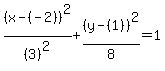
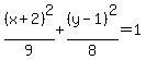
Since we really only need for the equation, we can stop here. (If you want or need the value for b, find the square root of each side. And since b is a distance, we are not interested in the negative square root. If you need to use this value for b to find the vertices on the minor axis, you would add and subtract the b to/from the y-coordinate of the center.) Now we are ready to write the equation. Substituting in the values we have found for a, h, k and we get:

which simplifies to:
|
|
|
| |