SOLUTION: Center (-2,1) Focus (-2,6) vertex (-2,4) Find the standard form of the equation of each hyperbola satisfying the given conditions.

Algebra ->  Quadratic-relations-and-conic-sections -> SOLUTION: Center (-2,1) Focus (-2,6) vertex (-2,4) Find the standard form of the equation of each hyperbola satisfying the given conditions.      Log On


   



Question 716550: Center (-2,1) Focus (-2,6) vertex (-2,4)
Find the standard form of the equation of each hyperbola satisfying the given conditions.

Answer by lwsshak3(11628) About Me  (Show Source):
You can put this solution on YOUR website!
Center (-2,1) Focus (-2,6) vertex (-2,4)
Find the standard form of the equation of each hyperbola satisfying the given conditions.
***
Standard form of equation for a hyperbola with vertical transverse axis:
%28y-k%29%5E2%2Fa%5E2-%28x-h%29%5E2%2Fb%5E2=1, (h,k)=(x,y) coordinates of center
center: (-2,1)
a=3 (distance from center to vertex, (1 to 4 ))
a^2=9
c=5 (distance from center to focus, (1 to 6 ))
c^2=25
c^2=a^2+b^2
b^2=c^2-a^2=25-9=16
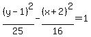
Equation of given hyperbola:
%28y-1%29%5E2%2F25-%28x%2B2%29%5E2%2F16=1