SOLUTION: center at (-2,3)with major axis of lenght 8 and parallel to the y-axis minor of lenght 2

Algebra ->  Quadratic-relations-and-conic-sections -> SOLUTION: center at (-2,3)with major axis of lenght 8 and parallel to the y-axis minor of lenght 2      Log On


   



Question 712993: center at (-2,3)with major axis of lenght 8 and parallel to the y-axis minor of lenght 2
Answer by lwsshak3(11628) About Me  (Show Source):
You can put this solution on YOUR website!
center at (-2,3)with major axis of lenght 8 and parallel to the y-axis minor of lenght 2
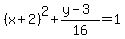
I assume you want the equation of the conic based on given data. For future submissions, you should state what you want from the tutor.
..
Standard form of equation for an ellipse with vertical major axis:
%28x-h%29%5E2%2Fb%5E2%2B%28y-k%29%5E2%2Fa%5E2=1, a>b, (h,k)=(x,y) coordinates of center
center: (-2,3)
length of vertical major axis=8=2a
a=4
a^2=16
length of minor axis=2=2b
b=1
b^2=1
Equation of given ellipse:
%28x%2B2%29%5E2%2B%28y-3%29%2F16=1