Find the intersection points of the pair of ellipses. Sketch the graphs of each pair of equations on the same coordinate axes and label the points on the intersection. Show proper algebra.

The standard form of an ellipse is




if the major axis is horizontal and the minor axis vertical. Or




if the major axis is vertical and the minor axis horizontal.
Where (h,k) is the center, a is the semi-major axis and b is the
semi-minor axis. b² > a²
We put the first one in standard form:




Get a 1 on the right by dividing through by 4








Write x as (x-0) and y as (y-0)




This ellipse has its major axis vertical because the larger
denominator is uder the y-term. The center is (h,k) = (0,0),
the semi major axis-is a=2, and the semi-minor axis is b=1
It has the graph:
---------------------
We put the second one in standard form:




Get a 1 on the right by dividing through by 36








Write x as (x-0) and y as (y-0)




This ellipse has its major axis horizontal because the larger
denominator is uder the y-term. The center is (h,k) = (0,0),
the semi major axis-is a=3, and the semi-minor axis is b=2
It has the graph:
Putting them both on the same set of axes:
It looks as if the only points of interesction are at
(x,y) = (0,2) and (0,-2)
But we are to show the proper algebra:
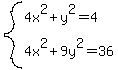
So we have this system of equations to solve:
4x² + y² = 4
4x² + 9y² = 36
Subtracting the 1st equation term by term from the
2nd equation gives:
8y² = 32
y² = 4
y = ±2
Substituting 4 for y² in the first equation:
4x² + y² = 4
4x² + 4 = 4
4x² = 0
x² = 0
x = 0
So the points of intersection as, as we suspected
from looking at the graph:
(x,y) = (0,±2) or (0,-2) and (0,2)
Edwin