|
Question 688211: How do I put the equation in standard form? The vertices and the center of the equation are also needed:
-16x^2 - 4y^2 = 48x - 20y + 57
I did try to solve it using completing the square but it didn't work out the correct way, because the numbers I came up with I was not able to factor them.
Answer by lwsshak3(11628) (Show Source):
You can put this solution on YOUR website! How do I put the equation in standard form? The vertices and the center of the equation are also needed:
-16x^2 - 4y^2 = 48x - 20y + 57
-16x^2 - 4y^2 = 48x - 20y + 57
16x^2+48x+4y^2-20y=-57
complete the square
16(x^2+3x+9/4)+4(y^2-5y+25/4=-57+36+25
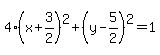
16(x+3/2)^2+4(y+5/2)^2=4

This is an equation of an ellipse with vertical major axis.
Its standard form: ,a>b, (h,k)=(x,y) coordinates of center
center: (-3/2,5/2)
a^2=1
a=1
vertices=(-3/2,5/2±a)=(-3/2,5/2±1)=(-3/2,3/2) and (-3/2,7/2)
|
|
|
| |