SOLUTION: I need to know how to solve this: {{{4x^2-9y^2-16x-20=0}}} I need also: Type of Conic__________ Standard Form__________ Center/Vertex__________ Direction __________ and How t

Algebra ->  Quadratic-relations-and-conic-sections -> SOLUTION: I need to know how to solve this: {{{4x^2-9y^2-16x-20=0}}} I need also: Type of Conic__________ Standard Form__________ Center/Vertex__________ Direction __________ and How t      Log On


   



Question 68611: I need to know how to solve this: 4x%5E2-9y%5E2-16x-20=0
I need also:
Type of Conic__________
Standard Form__________
Center/Vertex__________
Direction __________
and How to Graph It
PLEASE help I have a test soon.

Answer by Nate(3500) About Me  (Show Source):
You can put this solution on YOUR website!
The squares of the variables are subtracted from one another ... hyperbola
4x%5E2+-+9y%5E2+-+16x+-+20+=+0
4x%5E2+-+16x+-+9y%5E2+=+20
4%28x%5E2+-+4x%29+-+9%28y%5E2%29+=+20
4%28x+-+2%29%5E2+-+9%28y%29%5E2+=+36
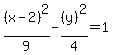
4%28x+-+2%29%5E2%2F36+-+9%28y%29%5E2%2F36+=+1
%28x+-+2%29%5E2%2F9+-+%28y%29%5E2%2F4+=+1
Center: (2,0)
a = 3
Verticies: (-1,0) and (5,0)
Horizontal Transverse Axis