SOLUTION: I have no idea how to do anything with conics, our teacher is not the best teacher and my question is, how to write an equation for the conic section- Ellipse with vertices at (-2,

Algebra ->  Quadratic-relations-and-conic-sections -> SOLUTION: I have no idea how to do anything with conics, our teacher is not the best teacher and my question is, how to write an equation for the conic section- Ellipse with vertices at (-2,      Log On


   



Question 66711This question is from textbook
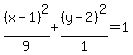
: I have no idea how to do anything with conics, our teacher is not the best teacher and my question is, how to write an equation for the conic section- Ellipse with vertices at (-2,2) and (4,2) and co-vertices at (1,1) and (1,3) This question is from textbook

Answer by Nate(3500) About Me  (Show Source):
You can put this solution on YOUR website!
We can tell that the center is at (1,2) in (h,k) form.
The distance from the center to the farthest verticies is a.
The distance from the center to the closest certicies is b.
a+=+3
b+=+1
Equation for horizontal Ellipse:
%28x+-+h%29%5E2%2Fa%5E2+%2B+%28y+-+k%29%5E2%2Fb%5E2+=+1
%28x+-+1%29%5E2%2F9+%2B+%28y+-+2%29%5E2%2F1+=+1