SOLUTION: 'what is the equation of the ellipse that has center at (3,4), a=3,b=2 and the major axis is parallel to the y-axis?'

Algebra ->  Quadratic-relations-and-conic-sections -> SOLUTION: 'what is the equation of the ellipse that has center at (3,4), a=3,b=2 and the major axis is parallel to the y-axis?'      Log On


   



Question 663319: 'what is the equation of the ellipse that has center at (3,4), a=3,b=2 and the major axis is parallel to the y-axis?'
Answer by lwsshak3(11628) About Me  (Show Source):
You can put this solution on YOUR website!
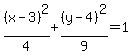
'what is the equation of the ellipse that has center at (3,4), a=3,b=2 and the major axis is parallel to the y-axis?
**
This is an equation of an ellipse with vertical major axis
Its standard form: %28x-h%29%5E2%2Fb%5E2%2B%28y-k%29%5E2%2Fa%5E2=1, a>b, (h,k)=(x,y) coordinates of the center
For given ellipse:
center: (3,4)
a=3
a^2=9
b=2
b^2=4
Equation:
%28x-3%29%5E2%2F4%2B%28y-4%29%5E2%2F9=1