Question 658496: a hyperbola of eccentricity 3/2 has one focus at (1,-3). The corresponding directrix is the line "y". find an equation for the hyperbola? Answer by Edwin McCravy(20056) (Show Source):
You gave the corresponding directrix as just "y".
You have to give an equation, not just "y". I will
guess arbitrarily that you meant "y=2". If you meant
another number, then the principle will be the same.
distance from any pt. (x,y) to focus)
eccentricity = -------------------------------------------
distance from that pt. (x,y) to directrix)
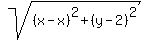
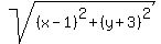
Distance from (x,y) to focus (1,-3) =
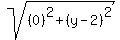
Distance from (x,y) to the point (x,2) on the directrix =
= = |y-2|
Use the eccentricity formula above:
=
Square both sides:
=
Cross-multiply:
9(y - 2)² = 4[(x - 1)² + (y + 3)²]
9(y² - 4y + 4) = 4(x - 1)² + 4(y + 3)²
9y² - 36y + 36 = 4(x - 1)² + 4(y² + 6y + 9)
9y² - 36y + 36 = 4(x - 1)² + 4y² +24y + 36
5y² - 60y - 4(x - 1)² = 0
Factor out 5 from the first two terms:
5(y² - 60y) - 4(x - 1)² = 0
Complete the square in the first parentheses:
-60× = -30, the (-30)² = 900. Add 900 in the parentheses
and since the parentheses has coefficient 5 we add 5·900 or 4500
on the right:
5(y² - 60y + 900) - 4(x - 1)² = 0 + 4500
5(y - 30)² - 4(x - 1)² = 4500
Get a 1 on the right by dividing through by 4500:
- = 1
- = 1
Edwin