SOLUTION: 64x^2+16y^2+320x-192y+960=0 need in ellipse form plus foci, verts, and ecc I got for the formula 4(x+5/2)^2 + (y-6)^2 =1 not sure if this is right

Algebra ->  Quadratic-relations-and-conic-sections -> SOLUTION: 64x^2+16y^2+320x-192y+960=0 need in ellipse form plus foci, verts, and ecc I got for the formula 4(x+5/2)^2 + (y-6)^2 =1 not sure if this is right       Log On


   



Question 620155: 64x^2+16y^2+320x-192y+960=0
need in ellipse form plus foci, verts, and ecc
I got for the formula 4(x+5/2)^2 + (y-6)^2 =1 not sure if this is right

Found 2 solutions by ewatrrr, lwsshak3:
Answer by ewatrrr(24785) About Me  (Show Source):
You can put this solution on YOUR website!
 
Hi,
64x^2+16y^2+320x-192y+960=0
64(x +5/2)^2 - 64(25/4) + 16(y+6)^2 - 16(36) +960 = 0
64(x +5/2)^2 + 16(y+6)^2 = 16
4(x+5/2)^2 + (y+6)^2 =1 Yes, good Work.
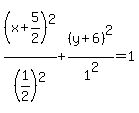
%28x%2B+5%2F2%29%5E2%2F%281%2F2%29%5E2+%2B+%28y%2B6%29%5E2%2F1%5E2+=+1 This format gives the standard form
C(-5/2,-6) V(-3,-6) & V(-2,6) and V(-5/2,-7) & V(-5/2,-5)
sqrt(1-1/4) = sqrt(3/4) = ± sqrt(3)/2 F(-5/2, -6±sqrt(3)/2)
Standard Form of an Equation of an Ellipse is %28x-h%29%5E2%2Fa%5E2+%2B+%28y-k%29%5E2%2Fb%5E2+=+1+ where Pt(h,k) is the center. (a positioned to correspond with major axis)
a and b are the respective vertices distances from center and ± sqrt%28a%5E2-b%5E2%29are the foci distances from center: a > b

Answer by lwsshak3(11628) About Me  (Show Source):
You can put this solution on YOUR website!
64x^2+16y^2+320x-192y+960=0
need in ellipse form plus foci, verts, and ecc
***
64x^2+16y^2+320x-192y+960=0
complete the square
64x^2+320x+16y^2-192y+960=0
64(x^2+5+25/4)+16(y^2-12y+36)=-960+400+576
64(x+5/2)^2+16(y-6)^2=16
(x+5/2)^2/(16/64)+(y-6)^2=1
(x+5/2)^2/(1/4)+(y-6)^2=1
This is an equation of ellipse with vertical major axis.
Its standard form: (x-h)^2/b^2+(y-k)^2/a^2=1, a>b, (h,k)=(x,y) coordinates of center
For given equation:
center:(-5/2,6)
a^2=1
a=1
vertices: (-5/2,6±a)=(-5/2, 6±1)= (-5/2,5) and (-5/2,7)
b^2=1/4
b=√(1/4)=1/2
..
c^2=a^2-b^2=1-1/4=3/4
c=√(3/4)≈.87
foci: (-5/2,6±c)=(-5/2, 6±.87)= (-5/2,5.13) and (-5/2,6.87)
..
eccentricity: c/a=c/1≈.87