Hi,
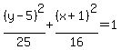
Standard Form of an Equation of an Ellipse is
where Pt(h,k) is the center. (a positioned to correspond with major axis)
a and b are the respective vertices distances from center and ±
are the foci distances from center: a > b
C(-1,5) Vertices( -5,5)(3,5) and (-1,10)(-1,0)
±
= ± 3 F( 2,5) &(-4,5)
See below descriptions of various conics
Standard Form of an Equation of a Circle is
where Pt(h,k) is the center and r is the radius
Standard Form of an Equation of an Ellipse is
where Pt(h,k) is the center. (a positioned to correspond with major axis)
a and b are the respective vertices distances from center and ±
are the foci distances from center: a > b
Standard Form of an Equation of an Hyperbola opening right and left is:
where Pt(h,k) is a center with vertices 'a' units right and left of center.
Standard Form of an Equation of an Hyperbola opening up and down is:
where Pt(h,k) is a center with vertices 'b' units up and down from center.
the vertex form of a parabola opening up or down,
where(h,k) is the vertex.
The standard form is
, where the focus is (h,k + p)
the vertex form of a parabola opening right or left,
where(h,k) is the vertex.
The standard form is
, where the focus is (h +p,k )