|
Question 608603: find the equation of hte elipse that has vertices (-2,-4) and (8,-4) and a focus at (6,-4)
Answer by ewatrrr(24785) (Show Source):
You can put this solution on YOUR website!
Hi
Note:
Standard Form of an Equation of an Ellipse is where Pt(h,k) is the center. (a positioned to correspond with major axis)
a and b are the respective vertices distances from center and ± are the foci distances from center: a > b
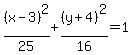
vertices (-2,-4) and (8,-4), and a focus at (6,-4)or 3 from center and y = -4, major axis
and = 3, b = 4
OR 
See below descriptions of various conics
_______________________________________________________________________
Standard Form of an Equation of a Circle is
where Pt(h,k) is the center and r is the radius
Standard Form of an Equation of an Ellipse is where Pt(h,k) is the center. (a positioned to correspond with major axis)
a and b are the respective vertices distances from center and ± are the foci distances from center: a > b
Standard Form of an Equation of an Hyperbola opening right and left is:
where Pt(h,k) is a center with vertices 'a' units right and left of center.
Standard Form of an Equation of an Hyperbola opening up and down is:
where Pt(h,k) is a center with vertices 'b' units up and down from center.
the vertex form of a parabola opening up or down, where(h,k) is the vertex.
The standard form is , where the focus is (h,k + p)
the vertex form of a parabola opening right or left, where(h,k) is the vertex.
The standard form is , where the focus is (h +p,k )
|
|
|
| |