SOLUTION: Foci: (0,3) and (0,-3) x-intercept: 2 and -2

Algebra ->  Quadratic-relations-and-conic-sections -> SOLUTION: Foci: (0,3) and (0,-3) x-intercept: 2 and -2      Log On


   



Question 607082: Foci: (0,3) and (0,-3)
x-intercept: 2 and -2

Answer by ewatrrr(24785) About Me  (Show Source):
You can put this solution on YOUR website!
 
Hi,
Ellipse:
%28x-h%29%5E2%2Fa%5E2+%2B+%28y-k%29%5E2%2Fb%5E2+=+1+ where Pt(h,k) is the center.
a and b are the respective vertices distances from center and ±sqrt%28a%5E2-b%5E2%29are the foci distances from center
Foci: (0,3) and (0,-3) center%3APt%280%2C0%29, and major axis is along x = 0
3= sqrt%28b%5E2-2%5E2%29 b = sqrt(13)
x-intercept: 2 and -2
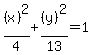
%28x%29%5E2%2F4+%2B+%28y%29%5E2%2F13=+1+

See below descriptions of various conics
Standard Form of an Equation of a Circle is %28x-h%29%5E2+%2B+%28y-k%29%5E2+=+r%5E2
where Pt(h,k) is the center and r is the radius
Standard Form of an Equation of an Ellipse is %28x-h%29%5E2%2Fa%5E2+%2B+%28y-k%29%5E2%2Fb%5E2+=+1+ where Pt(h,k) is the center.
a and b are the respective vertices distances from center and ±sqrt%28a%5E2-b%5E2%29are the foci distances from center
Standard Form of an Equation of an Hyperbola opening right and left is:
%28x-h%29%5E2%2Fa%5E2+-+%28y-k%29%5E2%2Fb%5E2+=+1 where Pt(h,k) is a center with vertices 'a' units right and left of center.
Standard Form of an Equation of an Hyperbola opening up and down is:
%28y-k%29%5E2%2Fb%5E2+-+%28x-h%29%5E2%2Fa%5E2+=+1 where Pt(h,k) is a center with vertices 'b' units up and down from center.
the vertex form of a parabola opening up or down, y=a%28x-h%29%5E2+%2Bk where(h,k) is the vertex.
The standard form is %28x+-h%29%5E2+=+4p%28y+-k%29, where the focus is (h,k + p)
the vertex form of a parabola opening right or left, x=a%28y-k%29%5E2+%2Bh where(h,k) is the vertex.
The standard form is %28y+-k%29%5E2+=+4p%28x+-h%29, where the focus is (h +p,k )