SOLUTION: Equation (in graphing form) for ellipse with foci points (5,4) and (-3,4) and the major axis is 10 units long.

Algebra ->  Quadratic-relations-and-conic-sections -> SOLUTION: Equation (in graphing form) for ellipse with foci points (5,4) and (-3,4) and the major axis is 10 units long.      Log On


   



Question 606824: Equation (in graphing form) for ellipse with foci points (5,4) and (-3,4) and the major axis is 10 units long.
Found 2 solutions by lwsshak3, ewatrrr:
Answer by lwsshak3(11628) About Me  (Show Source):
You can put this solution on YOUR website!
Equation (in graphing form) for ellipse with foci points (5,4) and (-3,4) and the major axis is 10 units long.
**
Ellipse has a horizontal major axis.
Its equation in standard form: (x-h)^2/a^2+(y-k)^2/b^2=1, a>b, (h,k)=(x,y) coordinates of center.
For given ellipse:
x-coordinate of center=(5-3)/2=1 (use midpoint formula and data from given foci)
y-coordinate 0f center=4
center: (1,4)
Given length of horizontal major axis=10=2a
a=5
a^2=25
..
2c=8 (-3 to 5)
c=4
c^2=16
..
c^2=a^2-b^2
b^2=a^2-c^2=25-16=9
b=3
..
Equation of given ellipse:
(x-1)^2/25+(y-4)^2/9=1
see graph below:
..
y=±(9-9(x-1)^2/25)^.5+4




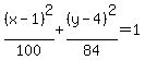
Answer by ewatrrr(24785) About Me  (Show Source):
You can put this solution on YOUR website!
 
Hi,
ellipse with foci points (5,4) and (-3,4) and the major axis is 10 units long.
foci are each 4 from Center..center is (1,4)
Standard Form of an Equation of an Ellipse is %28x-h%29%5E2%2Fa%5E2+%2B+%28y-k%29%5E2%2Fb%5E2+=+1+
where Pt(h,k) is the center and a and b are the respective vertices distances from center
and 4(distance of foci from Center) = sqrt(a^2-b^2) = sqrt(100-b^2), b = sqrt(84)
%28x-1%29%5E2%2F100+%2B+%28y-4%29%5E2%2F84+=+1+