|
Question 596617: write the equation for the following asymptotes for the following hyperbola x^2-4y^2=16
Found 2 solutions by jsmallt9, lwsshak3: Answer by jsmallt9(3758) (Show Source):
You can put this solution on YOUR website! 
First let's put the equation in standard form:

Dividing by 16 (to get the 1 on the right):

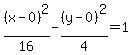
Since x = x - 0 and y = y - 0, we can make these substritutions (so we can see the full form):

We can now see that the center is (0, 0) and that and making a = 4 and b = 2. And since the x is before the minus, this is a horizontally-oriented hyperbola.
With horizontally-oriented hyperbolas, the slopes of the asymptotes are b/a and -b/a, making the slopes for your asymptotes 2/4 and -2/4 or, in reduced form, 1/2 and -1/2.
The asymptotes pass through the center of the hyperbola. So your asymptotes will be:
a line passing through (0, 0) with a slope of 1/2; and
a line passing through (0, 0) with a slope of -1/2
Writing the equations of these lines will be very easy because (0, 0) is not just any point on the asymptotes, but it is the y-intercept for both asymptotes (since the x-coordinate is 0). So we can directly write the slope-intercept forms of these equations:
or simply 
and
or simply
Answer by lwsshak3(11628) (Show Source):
You can put this solution on YOUR website! write the equation for the following asymptotes for the following hyperbola x^2-4y^2=16
divide by 16
x^2/16-y^2/4=1
This is an equation for a hyperbola with horizontal transverse axis of the standard form: (x-h)^2/a^2-(y-k)^2/b^2=1, (h,k)=(x,y) coordinates of center.
For given hyperbola:
center:(0,0)
a^2=16
a=√16=4
..
b^2=4
b=2
..
slopes of asymptotes, m: ±b/a=±2/4=±1/2
equations of asymptotes:
y=mx+b and y=-mx+b, m=slope, b=y-intercept
y=x/2+b and y=-x/2+b
since asymptotes go thru origin, (0,0), y-intercept,b=0
equations therefore are:
y=x/2 and y=-x/2
|
|
|
| |