SOLUTION: Find the center of hyperbola defined by (x+3)^/64 - (y+9)^/25 = 1

Algebra ->  Quadratic-relations-and-conic-sections -> SOLUTION: Find the center of hyperbola defined by (x+3)^/64 - (y+9)^/25 = 1      Log On


   



Question 596117: Find the center of hyperbola defined by
(x+3)^/64 - (y+9)^/25 = 1

Answer by jsmallt9(3758) About Me  (Show Source):
You can put this solution on YOUR website!
The general form for a hyperbola is:
%28x-h%29%5E2%2Fa%5E2+-+%28y-k%29%5E2%2Fb%5E2+=+1 (horizontally-oriented)
or
%28y-k%29%5E2%2Fa%5E2+-+%28x-h%29%5E2%2Fb%5E2+=+1 (vertically-oriented)
The center of the hyperbola, in both cases, is the point (h, k)

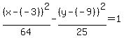
Except for the +'s in your numerators, your equation is already in this form. All you have to do is rewrite the additions as equivalent subtractions:
%28x-%28-3%29%29%5E2%2F64+-+%28y-%28-9%29%29%5E2%2F25+=+1
This makes the center: (-3, -9)