|
Question 539038: im having a difficulty in solving this problem. your help is highly appreciated.
a point moves so that its distance from the point 4,0 is always one half its distance from the line x-16=0. find the equation of its locus
Found 2 solutions by stanbon, Alan3354: Answer by stanbon(75887) (Show Source):
You can put this solution on YOUR website! a point moves so that its distance from the point 4,0 is always one half its distance from the line x-16=0. find the equation of its locus
---
Every point on the line x-16=0 is (16,y) where y can be any Real Number.
----
Find distance of (x,y) from (4,0) and from (16,y)
sqrt[(x-4)^2+(y-0)^2] and sqrt[(x-16)^2 + (0)^2]
---
Equation:
sqrt[(x-4)^2+(y-0)^2] = (1/2)sqrt[(x-16)^2 + (0)^2]
(x-4)^2+ y^2 = (1/4)(x-16)^2
x^2-8x+16 + y^2 = (1/4)(x^2-32x+256)
etc.
Cheers,
Stan H.
============
Answer by Alan3354(69443) (Show Source):
You can put this solution on YOUR website! The other tutor's solution gives an ellipse, which is obviously not right.
---------
So far, I get the same answer, tho.
More later.
--------------
Every point that I check on the ellipse fits.
I expected a parabola.
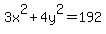
The eqn is 
|
|
|
| |