SOLUTION: Write the equation of the ellipse that is centered at (-2, 4) and contains the following points: Vertices: (-8, 4) and (4, 4) Co-vertices: (-2, 7) and (-2, 1) PLEASE AND THANK Y

Algebra ->  Quadratic-relations-and-conic-sections -> SOLUTION: Write the equation of the ellipse that is centered at (-2, 4) and contains the following points: Vertices: (-8, 4) and (4, 4) Co-vertices: (-2, 7) and (-2, 1) PLEASE AND THANK Y      Log On


   



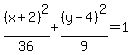
Question 461896: Write the equation of the ellipse that is centered at (-2, 4) and contains the following points: Vertices: (-8, 4) and (4, 4) Co-vertices: (-2, 7) and (-2, 1)
PLEASE AND THANK YOU THANK YOU THANK YOU!!!!!!!!!!!!!!!

Answer by robertb(5830) About Me  (Show Source):
You can put this solution on YOUR website!
The semi-major axis is 4--2 = -2--8 = 6.
The semi-minor axis is 7 - 4 = 4 - 1 = 3.
Then the standard equation of the ellipse is
%28x%2B2%29%5E2%2F36+%2B+%28y+-+4%29%5E2%2F9+=+1