SOLUTION: URGENT HELP PLEASE!! Write the equation of the circle that satisfies the stated conditions. In some cases there may be more than one circle that satisfies the conditions. Express

Algebra ->  Quadratic-relations-and-conic-sections -> SOLUTION: URGENT HELP PLEASE!! Write the equation of the circle that satisfies the stated conditions. In some cases there may be more than one circle that satisfies the conditions. Express       Log On


   



Question 457962: URGENT HELP PLEASE!! Write the equation of the circle that satisfies the stated conditions. In some cases there may be more than one circle that satisfies the conditions. Express the final equation in the form x2 + y2 + Dx + Ey + F = 0.(Objective 1)
Center at (−4, −6)and r = 3

Answer by jim_thompson5910(35256) About Me  (Show Source):
You can put this solution on YOUR website!
%28x-h%29%5E2%2B%28y-k%29%5E2=r%5E2 Start with the general equation of a circle.


%28x--4%29%5E2%2B%28y--6%29%5E2=r%5E2 Plug in h=-4 and k=-6 (since the center is the point (h,k) ).


%28x--4%29%5E2%2B%28y--6%29%5E2=%283%29%5E2 Plug in r=3 (this is the radius).


%28x--4%29%5E2%2B%28y--6%29%5E2=9 Square 3 to get 9 (this is the radius).


%28x%2B4%29%5E2%2B%28y%2B6%29%5E2=9 Simplify.


%28x%2B4%29%5E2%2B%28y%2B6%29%5E2-9=0 Subtract 9 from both sides.


x%5E2%2B8x%2B16%2By%5E2%2B12x%2B36-9=0 FOIL and expand.


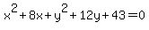
x%5E2%2B8x%2By%5E2%2B12y%2B43=0 Combine like terms.


x%5E2%2By%5E2%2B8x%2B12y%2B43=0 Rearrange the terms to fit the form x%5E2%2By%5E2%2BDx%2BEy%2BF=0.


The last equation is in standard form. Here we can see that D = 8, E = 12, and F = 43.