Hi, Assuming the vertices are (0,-6)and (0,6)
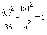
Note: Standard Form of an Equation of an Hyperbola opening up and down is:
where Pt(h,k) is a center with vertices 'b' units up and down from center.
Hyperbola with foci (0,-8) and(0,8) vertices(0,-6)and (0,6)
C(0,0) with vertices V(0,-6) and V(0,6)
foci (0,-8) and(0,8) c = sqrt(36 + a^2)= 8 a^2 = 28

