Hi, Assuming the vertices are (0,-4)and (0,4)
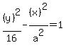
Note: Standard Form of an Equation of an Hyperbola opening up and down is:
where Pt(h,k) is a center with vertices 'b' units up and down from center.
Hyperbola with vertices are (0,-4)and (0,4)and foci at (0,7) and (0,-7)
C(0,0) with vertices V(0,-4) and V(0,4)
foci (0,-7) and(0,7) c = sqrt(16 + a^2)= 7 a^2 = 33

