Hi,
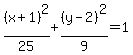
9(x+1)^2+25(y-2)^2=225

Standard Form of an Equation of an Ellipse is 
where Pt(h,k) is the center and a and b are the respective vertices distances from center.
center: (-1,2)
Foci:
= 4 Foci (-4,2) and ( 2,2)
length of major axis = 10 (a = 5)
Length of minor axis = 6 (b = 3)
8x^2+2y^2=32
C(0,0) major axis = 8 and minor = 4
foci are (0, ± sqrt(12)) sqrt(16-4)