SOLUTION: I need help with this question Find the standard form of the equation of the ellipse with the given characteristics. Center (-8,-2) a=2c foci (-9,-2),(-7,-2)

Algebra ->  Quadratic-relations-and-conic-sections -> SOLUTION: I need help with this question Find the standard form of the equation of the ellipse with the given characteristics. Center (-8,-2) a=2c foci (-9,-2),(-7,-2)       Log On


   



Question 444722: I need help with this question
Find the standard form of the equation of the ellipse with the given characteristics.
Center (-8,-2) a=2c foci (-9,-2),(-7,-2)

Answer by robertb(5830) About Me  (Show Source):
You can put this solution on YOUR website!

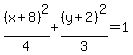
Here, c = -8--9 = 1, or c = -7--8 = 1.
==> a = 2c = 2*1 = 2, and b%5E2+=+a%5E2+-+c%5E2+=+2%5E2+-+1%5E2+=+4-1+=+3
Hence the standard form of the equation of the ellipse is

%28x%2B8%29%5E2%2F4+%2B+%28y%2B2%29%5E2%2F3+=+1