SOLUTION: need help with this question. Find the standard form of the equation of the hyperbola with the given characteristics. vertices: (1,-8), (1,-2) foci: (1,-10),(1,0)

Algebra ->  Quadratic-relations-and-conic-sections -> SOLUTION: need help with this question. Find the standard form of the equation of the hyperbola with the given characteristics. vertices: (1,-8), (1,-2) foci: (1,-10),(1,0)       Log On


   



Question 444456: need help with this question.
Find the standard form of the equation of the hyperbola with the given characteristics.
vertices: (1,-8), (1,-2) foci: (1,-10),(1,0)

Answer by ewatrrr(24785) About Me  (Show Source):
You can put this solution on YOUR website!
 
Hi, Previously Posted
Standard Form of an Equation of an Hyperbola opening up and down is:
%28y-k%29%5E2%2Fb%5E2+-+%28x-h%29%5E2%2Fa%5E2+=+1
where Pt(h,k) is a center with vertices 'b' units up and down from center.
vertices: (1,-8), (1,-2) b = 6/2= 3 then Center is (1,-5)
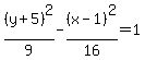
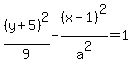
%28y%2B5%29%5E2%2F9+-+%28x-1%29%5E2%2Fa%5E2+=+1
foci: (1,-10),(1,0) sqrt%28+9+%2B+a%5E2%29+=+10%2F2+=+5 a^2 = 16
%28y%2B5%29%5E2%2F9+-+%28x-1%29%5E2%2F16+=+1