SOLUTION: Solve the system of equations. Give graphical support by making a sketch. (x^2/4) + (y^2/9) = 1 x + y = 3

Algebra ->  Quadratic-relations-and-conic-sections -> SOLUTION: Solve the system of equations. Give graphical support by making a sketch. (x^2/4) + (y^2/9) = 1 x + y = 3      Log On


   



Question 444284: Solve the system of equations. Give graphical support by making a sketch.
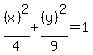
(x^2/4) + (y^2/9) = 1
x + y = 3

Answer by ewatrrr(24785) About Me  (Show Source):
You can put this solution on YOUR website!
 
Hi
Standard Form of an Equation of an Ellipse is %28x-h%29%5E2%2Fa%5E2+%2B+%28y-k%29%5E2%2Fb%5E2+=+1+
where Pt(h,k) is the center and a and b are the respective vertices distances from center.
+%28x%29%5E2%2F4+%2B+%28y%29%5E2%2F9+=+1 and y+=+-x%2B3
x^2/4 + (x^2 - 6x + 9)/9 = 1
9x^2 + 4x^2-24x+36 = 36
13x^2 -24x = 0
x(13x -24) = 0 x = 0 and x = 24/13
(0,3) and (24/13,15/13) the solutions for this system