SOLUTION: Write an equation for the ellipse with end points of the major axis at (7,1) and (-7,1) and end points of the minor axis at (0,5) and (0,-3). Thank You

Algebra ->  Quadratic-relations-and-conic-sections -> SOLUTION: Write an equation for the ellipse with end points of the major axis at (7,1) and (-7,1) and end points of the minor axis at (0,5) and (0,-3). Thank You      Log On


   



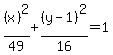
Question 43858: Write an equation for the ellipse with end points of the major axis at (7,1) and (-7,1) and end points of the minor axis at (0,5) and (0,-3).
Thank You

Answer by Nate(3500) About Me  (Show Source):
You can put this solution on YOUR website!
Length Of Major Axis: 14
A = 7
Length Of Minor Axis: 8
B = 4
C(0,1)
Standard Form:
%28x+-+h%29%5E2%2Fa%5E2+%2B+%28y+-+k%29%5E2%2Fb%5E2+=+1
%28x%29%5E2%2F49+%2B+%28y+-+1%29%5E2%2F16+=+1