SOLUTION: Graph the ellipse. Label the major axis, minor axis, and foci. Please show the graph. 4x^2+3y^2=48

Algebra ->  Quadratic-relations-and-conic-sections -> SOLUTION: Graph the ellipse. Label the major axis, minor axis, and foci. Please show the graph. 4x^2+3y^2=48      Log On


   



Question 437631: Graph the ellipse. Label the major axis, minor axis, and foci. Please show the graph.
4x^2+3y^2=48

Answer by Edwin McCravy(20059) About Me  (Show Source):
You can put this solution on YOUR website!
4x^2+3y^2=48


Get it in the form

%28x-h%29%5E2%2Fa%5E2+%2B+%28y-k%29%5E2%2Fb%5E2+=+1 if it looks like this ᆼ:

or in the form 

%28x-h%29%5E2%2Fb%5E2+%2B+%28y-k%29%5E2%2Fa%5E2+=+1 if it looks like this Ὁ
:

And the way you tell is by the fact that aČ is larger than bČ

4x%5E2%2B3y%5E2=48

Divide through by 48 to get 1 on the right:

4x%5E2%2F48%2B3y%5E2%2F48=48%2F48

Simplify

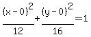
x%5E2%2F12%2By%5E2%2F16+=+1

Now write x as (x-0) and y as (y-0) 

%28x-0%29%5E2%2F12%2B%28y-0%29%5E2%2F16+=+1

16 is larger than 12 so the ellipse looks like this: 0
and it is in this form:

%28x-h%29%5E2%2Fb%5E2%2B%28y-k%29%5E2%2Fa%5E2+=+1

Comparing directly gives:

center = (h,k) = (0,0), aČ = 16, so a = 4, bČ = 12, so b = sqrt%2812%29=2sqrt%283%29

Major axis has length 2a = 2(4) = 8

So we plot the center and draw the major axis 8 units long with
the center (0,0)at its midpoint, which is the green line below 
extending from (0,-4) to (0,4):



Next we'll draw the minor axis 2b = 4sqrt%283%29 long or about 6.93 
units long with the center (0,0) at its midpoint, which is the blue 
line below extending from (-2sqrt%283%29,0) to (2sqrt%283%29,0), 
which is about the points (-1.73,0) to (1.73)



and sketch in the ellipse:



To find the focal points, we calculate c from

c+=+sqrt%28a%5E2-b%5E2%29+=+sqrt%2816-12%29+=+sqrt%284%29+=+2

So the focal points are on the major axis c = w units from the
center:

So they are (0,2) and (0,-2)




Edwin