You can
put this solution on YOUR website!
Hi
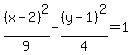
Finding the center of this hyperbola:
-4x^2+9y^2+16x-18y+29=0
9(y^2-2y) - 4(x^2-4x) + 29 = 0 |Completing the square
9[(y-1)^2-1 - 4[(x-2)^2 -4] + 29 = 0
9(y-1)^2 -9 - 4(x-2)^2 +16 + 29 = 0
9(y-1)^2 - 4(x-2)^2 +36 = 0
4(x-2)^2 - 9(y-1)^2 = 36
Center Pt(2,1)
