SOLUTION: Find the equation of the line normal to the curve {{{y^2=9-24/(6-x)}}} at the point (3,1)

Algebra ->  Quadratic-relations-and-conic-sections -> SOLUTION: Find the equation of the line normal to the curve {{{y^2=9-24/(6-x)}}} at the point (3,1)      Log On


   



Question 393102: Find the equation of the line normal to the curve y%5E2=9-24%2F%286-x%29
at the point (3,1)

Answer by Edwin McCravy(20059) About Me  (Show Source):
You can put this solution on YOUR website!
Find the equation of the line normal to the curve y%5E2=9-24%2F%286-x%29
at the point (3,1).



First we find the derivative of the curve using the implicit method:


y%5E2=9-24%2F%286-x%29

Rewrite that so that the denominator becomes a negative exponent 
in the top:

y%5E2=9-24%286-x%29%5E%28-1%29

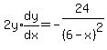
2y%2Aexpr%28dy%2Fdx%29=0%2B24%286-x%29%5E%28-2%29%28-1%29

2y%2Aexpr%28dy%2Fdx%29=-24%286-x%29%5E%28-2%29

2y%2Aexpr%28dy%2Fdx%29=-24%2F%286-x%29%5E2

Divide both sides by 2:

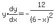
y%2Aexpr%28dy%2Fdx%29=-12%2F%286-x%29%5E2

Divide both sides by y:

expr%28dy%2Fdx%29=-12%2F%28y%286-x%29%5E2%29

Substitute the point (3,1)

expr%28dy%2Fdx%29=-12%2F%28%281%29%286-%283%29%29%5E2%29

expr%28dy%2Fdx%29=-12%2F%283%29%5E2%29

expr%28dy%2Fdx%29=-12%2F9%29

expr%28dy%2Fdx%29=-4%2F3

So the slope of a tangent line to the graph at the point (3,1)

would be -4%2F3

Therefore the slope of a line normal (perpendicular) to the
curve at that point has a slope which is the reciprocal of that
slope with the opposite sign which would be %22%22%2B3%2F4

So we want the equation of the line with slope 3%2F4 that
passes through (3,1)

y-y%5B1%5D=m%28x-x%5B1%5D%29

y-1+=+expr%283%2F4%29%28x-3%29

Multiply through by 4

4y-4=3%28x-3%29

4y-4=3x-9

4y+=+3x-5

Divide through by 4

y+=+expr%283%2F4%29x-5%2F4

Now we graph that line in blue:


 
and we see that it looks perpendicular to the curve at the
point (3,1).  Especially does it look perpendicular to the 
curve if we also draw the tangent line (in green):


 
Edwin