Find the length of the minor axis for the ellipse:
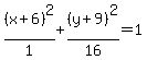
.
This is of the form
The larger denominator is under the term that contains y so the major
axis is vertical and the minor axis is horizontal.
The center is (h,k) = (-6,-9)
aČ = 16 so a = 4
bČ = 1 so b = 1
a is one-half of the major axis and b is one-half or the minor axis.
To draw the graph, we start at the center, (-6,-9), draw half the
major axis upward from it and half of the major axis below it.
Also, starting at the center, (-6,-9), draw half the
minor axis leftward from it and half of the minor axis right of it.
Sketch in the ellipse:
Since one-half of the minor axis is b = 1, the entire minor axis is 2.
Edwin