SOLUTION: What is the equation of the hyperbola with foci at (1,5) and (7,5) and with vertices at (2,5) and (6,5)?
Algebra
->
Quadratic-relations-and-conic-sections
-> SOLUTION: What is the equation of the hyperbola with foci at (1,5) and (7,5) and with vertices at (2,5) and (6,5)?
Log On
Algebra: Conic sections - ellipse, parabola, hyperbola
Section
Solvers
Solvers
Lessons
Lessons
Answers archive
Answers
Click here to see ALL problems on Quadratic-relations-and-conic-sections
Question 370291
:
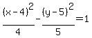
What is the equation of the hyperbola with foci at (1,5) and (7,5) and with vertices at (2,5) and (6,5)?
Answer by
robertb(5830)
(
Show Source
):
You can
put this solution on YOUR website!
Here c =3 and a = 2, and so
. The equation is then