SOLUTION: What is the vertex of function y=-x^2-5x-2?
Algebra
->
Quadratic-relations-and-conic-sections
-> SOLUTION: What is the vertex of function y=-x^2-5x-2?
Log On
Algebra: Conic sections - ellipse, parabola, hyperbola
Section
Solvers
Solvers
Lessons
Lessons
Answers archive
Answers
Click here to see ALL problems on Quadratic-relations-and-conic-sections
Question 360682
:
What is the vertex of function y=-x^2-5x-2?
Answer by
jrfrunner(365)
(
Show Source
):
You can
put this solution on YOUR website!
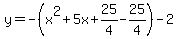
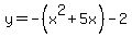
What is the vertex of function
?
--
factor a -1 from the first two terms
add and subtract 25/4 to complete the square
--
vertex x=-5/2, y=17/4