SOLUTION: Identify the conic. Choose the conic and its center. 16x2 + 25y2 - 96x - 200y = -144

Algebra ->  Quadratic-relations-and-conic-sections -> SOLUTION: Identify the conic. Choose the conic and its center. 16x2 + 25y2 - 96x - 200y = -144       Log On


   



Question 350216: Identify the conic. Choose the conic and its center.
16x2 + 25y2 - 96x - 200y = -144

Answer by jsmallt9(3758) About Me  (Show Source):
You can put this solution on YOUR website!
16x%5E2+%2B+25y%5E2+-+96x+-+200y+=+-144
This appears to be an ellipse. We won't know for sure until we have transformed the equation into the form:
%28x-h%29%5E2%2Fa%5E2+%2B+%28y-k%29%5E2%2Fb%5E2+=+1

We start by gathering the x terms and y terms together:
16x%5E2+-+96x+%2B+25y%5E2+-+200y+=+-144
Then we factor out coefficients of the squared terms from each set:
16%28x%5E2+-+6x%29+%2B+25%28y%5E2+-+8y%29+=+-144
Next we figure out what number we would need in each set of parentheses to make that expression a perfect square. This is done by taking 1/2 of the coefficient the x (or y) term and squaring it. The coefficient of the x term is -6. Half of this is -3. -3 squared is 9. So we need a 9 in the first set of parentheses.
For the second set of parentheses, the coefficient of the y term is -8. Half of this is -4 and -4 squared is 16. So we need a 16 in the second set of parentheses.
The tricky part is in knowing how to add the 9 and the 16 into these parentheses correctly. Since the first set of parentheses has a 16 in front of it then when we add a 9 inside, we are actually adding 16*9 to the left side. And if we add 16*9 of the left side, then we must add 16*9 on the right side, too.
With similar logic we can figure out that adding a 16 in the second set of parentheses is really adding a 25*16 to the left side (because of the 25 in front of the parentheses. So here is what we get:
16%28x%5E2+-+6x+%2B+9%29+%2B+25%28y%5E2+-+8y+%2B+16%29+=+-144+%2B+16%2A9+%2B+25%2A16
Take a long look at this to see how all this is working. It is the most difficult part of these kinds of problems.
Simplifying the right side we get:
16%28x%5E2+-+6x+%2B+9%29+%2B+25%28y%5E2+-+8y+%2B+16%29+=+-144+%2B+144+%2B+400
16%28x%5E2+-+6x+%2B+9%29+%2B+25%28y%5E2+-+8y+%2B+16%29+=+400
Now we divide both sides by 400 (or multiply by 1/400) to get the 1 we want on the right:
%281%2F400%29%2816%28x%5E2+-+6x+%2B+9%29+%2B+25%28y%5E2+-+8y+%2B+16%29%29+=+%281%2F400%29400

%28x%5E2+-+6x+%2B+9%29%2F25+%2B+%28y%5E2+-+8y+%2B+16%29%2F16+=+1
And we can write the numerators as perfect squares:
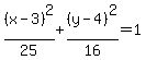
%28x-3%29%5E2%2F25+%2B+%28y-4%29%5E2%2F16+=+1
Since we were able to transform the equation into the proper form, this is indeed an ellipse. And we can "read" the center from the numerators: (3, 4)