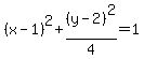
SOLUTION: I need to find the equation of the ellipse with center at (1,2) vertex at (1,4) and contains point (2,2).
Algebra
->
Quadratic-relations-and-conic-sections
-> SOLUTION: I need to find the equation of the ellipse with center at (1,2) vertex at (1,4) and contains point (2,2).
Log On
Algebra: Conic sections - ellipse, parabola, hyperbola
Section
Solvers
Solvers
Lessons
Lessons
Answers archive
Answers
Click here to see ALL problems on Quadratic-relations-and-conic-sections
Question 299094
:
I need to find the equation of the ellipse with center at (1,2) vertex at (1,4) and contains point (2,2).
Answer by
Alan3354(69443)
(
Show Source
):
You can
put this solution on YOUR website!