SOLUTION: what is the vertex of {{{y=-2x^2-4x+6}}}

Algebra ->  Quadratic-relations-and-conic-sections -> SOLUTION: what is the vertex of {{{y=-2x^2-4x+6}}}      Log On


   



Question 296787: what is the vertex of y=-2x%5E2-4x%2B6
Answer by jim_thompson5910(35256) About Me  (Show Source):
You can put this solution on YOUR website!
Solved by pluggable solver: Completing the Square to Get a Quadratic into Vertex Form


y=-2+x%5E2-4+x%2B6 Start with the given equation



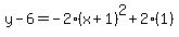
y-6=-2+x%5E2-4+x Subtract 6 from both sides



y-6=-2%28x%5E2%2B2x%29 Factor out the leading coefficient -2



Take half of the x coefficient 2 to get 1 (ie %281%2F2%29%282%29=1).


Now square 1 to get 1 (ie %281%29%5E2=%281%29%281%29=1)





y-6=-2%28x%5E2%2B2x%2B1-1%29 Now add and subtract this value inside the parenthesis. Doing both the addition and subtraction of 1 does not change the equation




y-6=-2%28%28x%2B1%29%5E2-1%29 Now factor x%5E2%2B2x%2B1 to get %28x%2B1%29%5E2



y-6=-2%28x%2B1%29%5E2%2B2%281%29 Distribute



y-6=-2%28x%2B1%29%5E2%2B2 Multiply



y=-2%28x%2B1%29%5E2%2B2%2B6 Now add 6 to both sides to isolate y



y=-2%28x%2B1%29%5E2%2B8 Combine like terms




Now the quadratic is in vertex form y=a%28x-h%29%5E2%2Bk where a=-2, h=-1, and k=8. Remember (h,k) is the vertex and "a" is the stretch/compression factor.




Check:


Notice if we graph the original equation y=-2x%5E2-4x%2B6 we get:


graph%28500%2C500%2C-10%2C10%2C-10%2C10%2C-2x%5E2-4x%2B6%29 Graph of y=-2x%5E2-4x%2B6. Notice how the vertex is (-1,8).



Notice if we graph the final equation y=-2%28x%2B1%29%5E2%2B8 we get:


graph%28500%2C500%2C-10%2C10%2C-10%2C10%2C-2%28x%2B1%29%5E2%2B8%29 Graph of y=-2%28x%2B1%29%5E2%2B8. Notice how the vertex is also (-1,8).



So if these two equations were graphed on the same coordinate plane, one would overlap another perfectly. So this visually verifies our answer.