Question 280514: write an equation for the ellipse with end points of the major axis at (7,1) and (-7,1) and end points of the minor axis at (0,5) and (0,-3). plz explain step by step...thnx
Answer by jsmallt9(3758) (Show Source):
You can put this solution on YOUR website! The general form of the equation for an ellipse is:
for horizontally oriented ellipses
or
for vertically oriented ellipses
where
(h, k) is the center of the ellipse
a = the distance from the center to a vertex on the major axis
b = the distance from the center to a vertex on the minor axis
Since the vertices on the major axis, (7,1) and (-7,1), are on the same horizontal line, this is a horizontally oriented ellipse. So we will use the first general form.
The center of an ellipse is the midpoint between the vertices on either the major or minor axis. The midpoint between (7,1) and (-7,1) (or between (0, 5) and (0, -3)) is (0, 1). So the center is (0, 1) and h = 0 and k = 1.
From the center, (0, 1), to either vertex on the major axis ((7, 1) or (-7, 0)) is 7. So a = 7.
From the center, (0, 1), to either vertex on the minor axis ((0, 5) or (0, -3)) is 4. So b = 4.
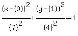
Now that we know h, k, a and b we can write the equation:

which simplifies to:

|
|
|